√ダウンロード 循环流程图 282962-经济 循环流程图
Oct 09, 18 · The diagram is an illustration of the lifecycle of the salmon fish The lifecycle begins with spawning "产卵",不及物动词 in the upper river, where the water moves slowly As soon as the eggs are laid among small stones at the bottom of reeds, the incubation "孵化",抽象名词 starts, which takes approximately 5 to 6 monthsC#循环流程图和while循环 程序连续的重复一个步骤称为" 循环 "。 循环可以简化我们的代码,减少冗余。 例如,打印 110 的整数,我们可以写 10 条打印语句,也可以这样: 这个循环结构,会首先判断 xOct 29, 19 · 若其值为真,则执行 for 语句中指定的语句,然后执行第3步;若表达式2值为假,则结束循环,转到第5步; 3)求解表达式3; 4)转回上面第2步继续执行; 5)循环结束,执行 for 语句下面的语句。

For循环的流程图怎么画 程序流程图循环 桃丽网
经济 循环流程图
经济 循环流程图-要完成上三角迭代器模式,请在此流程图中沿垂直转移插入第二个 for 循环。 在现有流程图中插入逻辑模式 使用 Pattern Wizard 向现有流程图添加循环或决策逻辑扩展。选择符合条件的垂直转移,并从 Pattern 库中选择一种模式。选项包括决策、循环和切换模式。Jun 07, 21 · 232、页面流程图示例 三、流程图的画法 31、流程图的符号 32、常用符号 33、流程图的三大结构 流程图由三大结构构成,这三大结构分别为顺序结构、选择结构和循环结构,这三个结构构成了流程执行的全过程。 331、顺序结构



For循环流程图三重 第1页 要无忧健康图库
循环程序流程图 立即使用 开始 加载字模数据到预显示缓冲区 向显示单元发送一行显示缓冲区中的 内容 延时 判断是否扫描 16次 判断是否达到 速度控制字的 值 判断是否完成 8次移位 调用左滚动移 位子程序 判断是否显示 完毕所有字符 数据 结束 初始化 是 是Aug 24, 10 · C语言编程中常用的三种循环为for(;;),while 和 dowhile。 1 for循环 for循环形式: for(表达式1;表达式2;表达式3) 流程图: 图1 for循环流程图 2 while循环 while循环形式: while(判断条件) { 执行语句; } 流程图: 图2 while循环流程图 3 dowhile循环 dowhile循环形循环水工艺流程图 t 凉水塔 1#汽机循环水泵 2#汽机循环水泵 p p t 去中水罐 凝汽器 空冷器 p 阀门 一次水 污 水 泵 汽机循环水池 池 硫酸 无阀过滤器 阀 门 排污 无阀过滤器 冷油器 来至干洗 制酸循环水池 排污 p 1#制酸循环水泵 制酸板换 2#制酸循环水泵 t p 油冷器 凉水塔 t 空冷器 f一、工艺流程简述 循环水通过循环水泵加压后输出,大部分到用水车间进行热量交换,换热的回水通过凉水塔降温后进入水池,一
Nov 18, · 业务流程图是最常见的图表之一,能看懂读懂是必修课,能绘制便是非常重要的选修课。 在实际生活中,我们会碰到各种各样的流程。比如你去医院看病,你需要先去服务台领个具体要去看病的某个科室的小票,再前往挂号窗口将小票递给工作人员,缴完挂号费之后拿到挂号单,再前往具体科Oct 08, 16 · 会计从业_会计职称考试专栏☉整理会计业务循环的流程图相关问题讨论及资料分享,并提供会计业务循环的流程图相关资讯《会计基础》考点及小练习 所有者权益筹资业务的账户设置 16年从业三科易混易错考点汇总 网校论坛版块发帖及关联活动主贴步骤及示意图 引用《会计基础》考点及Jul 03, 18 · 打开word文档后,如图点击"插入"选项卡,在"插图"分组中选择"SmartArt"。 如图打开"选择SmartArt图形"对话框,点击"循环"选项卡。 在"循环"菜单页面内点击选择"文本循环"图形。 点击右下角"确定"按钮。 如图word文档中完成了环状流程图的
Nov 22, 12 · 循环流向图的特点 社会经济活动可以从任何一个市场的交换关系开始。 家庭中的劳动者个人要作为劳动力的提供者在劳动市场上把劳务供应给 企业 ,这样作为重要的 生产要素 , 劳动力 就通过市场流向 企业 ,同时正如下图中虚线所描述的货币流向, 货币Dec 28, 18 · 剧中可能的路径(完整流程图&部分文字描述) raphael 评论 黑镜:潘达斯奈基 4 2145 这篇影评可能有剧透 在英语版流程图的启发下,经过一段时间整理和摸索,做了一个中文流程图出来。 基本囊括了所有可能性,不过还不是很完善,如果有什么需要(3) 循环结构 :当型循环结构下,图符表示先判断后执行,当 p 条件成立时反复执行 A 操作,直到 p 条件不成立为止。 直到型循环结构下,图符表示先执行后判断,当 p 条件不成立时反复执行 A 操作,直到 p 条件成立为止。 用以上三种 NS 流程图中的基本框.可以组成复杂的 NS 流程图, 以表示算法。




Viso制作循环流程图 含实例步骤制作 执念斩长河 程序员宅基地 程序员宅基地




三种循环的流程图画法总结 绿茶叶 博客园
Dec 07, · 三种循环的流程图画法: C语言编程中常用的三种循环为for(;;),while 和 dowhile。 1 for循环 for循环形式: for(表达式1赋值语句;表达式2判断语句;表达式3自加自减语句) 流程图: 图1 for循环流程图Oct 19, · 10、循环 循环组件的作用是循环执行一些操作,它的设置如下图所示: (1)循环方式:单个文本列表 (2)循环方式:组合文本列表 (3)循环方式:列表元素 (4)循环方式:下拉框 (5)循环方式:分页 分页类型有以下三种: 第一种:分页按钮流程图 流程图 第 6 课时 52 流程图 重点难点 重点:运用流程图表示顺序、选择、循环这三种基本结 构 难点:循环结构算法的流程图 学习导航 知识网络 学习要求 1能运用流程



C While Do While 循环详解



For 循环的流程图等价形式 Space Bilibili Com Csdn博客 For循环流程图
图5.4 dowhile循环流程图 dowhile循环的特点是先执行循环体,后判断表达式。 现在,尝试着用dowhile循环来完成引例52所要实现的功能,其流程图如图5.5 所示。 图5.5 用dowhile循环实现引例52的流程图 程序代码 / 751;3个for循环嵌套使用流程 求这个程序的流程图,一直对双重for语句的执行不清楚,求流程 两Oct 14, 19 · 流程图就是一种描述算法的方式,相比于纯文字的描述,可以把解决问题的思路以更清晰、直观的方式展现出来,有助于更好的设计程序过程。 那么首先来看一下常用的流程图符号(在excel中"插入"选项卡,插入"形状",流程图部分都有下列常用的符号。



循环结构刘立博的代码



Php第二章php流程控制语句 Yuanerhero
Jun 25, · PDCA循环运用与流程图 创新是把一种认识转化为实践的过程,其中存在较大的思维发散空间,结合PDCA循环在制造过程中对于质量改进的作用,按照"四阶段、八步骤"的提法,创新过程中PDCA循环的运用可以参考图1所示来完成。 在实施中应注意任何结论的获得循环流程图 3 templates Income and Spending Example Simple Circular Flow Diagram Circular Flow Diagram Template Browse by category 4Qs 框架Jul 03, 19 · 图8循环结构的NS流程图ppt,不能预览其他用户文档第1章 算法与程序设计 11 程序设计的基本概念 12 算法和流程图 13 结构化



3 9 C 嵌套循环 C语言教程 编程入门教程 牛客网




For循环的流程图怎么画 程序流程图循环 桃丽网
直接复制循环图表PPT的幻灯片到PPT模板里使用即可 点击下载四个步骤PPT信息图表元素圆形循环 21年循环关系图表PPT PPT循环关系 PDCA循环PPT PPT循环图 PPT循环 流程图循环关系PPT信息图表 循环递进关系PPT图表 流程图递进并列关系PPT信息图表元素 循环步骤关系流程图信息图表PPT素材动态元素 五个步骤PPT信息图表元素圆形循环 步骤循环图PPT 圆形循环PPT 箭头循环图PPT尽在Dec 17, 17 · 流程图不仅可以简洁明了的将复杂的步骤划分为几个主要方面,还能带给阅读者更加便捷的理解体验。下面我们就来讲一下如何在Word中制作逻辑清晰的流程图。 新建绘图画布 首先添加一块画布用来摆放流程图元素,可依次单击插入形状新建绘图Nov 11, 16 · PPT16如何插入流程图、循环图 6人贡献了经验 查看全部经验 > xhk4567 3385人看过 在做PPT的过程中,对于要表达一些流程关系,或者循环、层次、关系等等一系列内容的结构时怎么去表达呢,一个个层次的绘制太麻烦,怎么去插入相应的结构图呢,下面一起来看看吧




For While Do While循环流程图的的画法总结 百度经验




Python语言编写while循环流程图 H5 Processon免费在线作图 在线流程图 在线思维导图
Dec 24, 18 · C语言中for循环嵌套的流程图怎么画? 1617 多个for的嵌套流程图怎么画 对于for循环中嵌套了if结构的流程图怎么画呢?图 3 dowhile 循环流程图 dowhile 循环主要用在一直进行尝试性的操作,直到满足条件为止的情景。 例 2 编程实现猜数字游戏,假设谜底为 0〜10 的整数,猜谜者每次输入一个整数,直到猜对为止。Jan 11, 16 · 三种循环的流程图画法总结 1 for循环 for循环形式: for(表达式1;表达式2;表达式3) 流程图: 图1 for循环流程图 2 while循环 while循环形式: while(判断条件) {



彩色循环箭头流程图免抠素材免费下载 觅元素51yuansu Com




彩色微粒体文本框说明循环关系流程图ppt图表 包站长
在线绘画循环流程图 The circular flow diagram tool provided by VP Online lets you create professional circular flow diagram in a snap Create the circular flow diagrams easily with drag and drop, format shapes with different colors and fonts, keep your design in a cloud workspace and work collaboratively with your teamDec 05, 10 · 三种循环的流程图画法总结 C语言编程中常用的三种循环为for(;;),while 和 dowhile。 1 for循环 for循环形式: for(表达式1;表达式2;表达式3) 流程图: 图1 for循环流程图 2For循环 循环执行步骤: 第一,先进行循环控制变量初始化; 第二,执行循环终止条件,如果判断结果为真,则进入第三步;如果为假则循环终止并退出; 第三,执行循环体; 第四,执行循环控制变量增量,转入第二步。 对应的流程图如下图所示: 上面的描述可能太抽象,为方便大家理解,以"求1到100的和"为例作进一步说明:




Circular Flow Diagram Template 循环流程图template



For循环流程图三重 第1页 要无忧健康图库
Feb 23, 18 · 流程图编程参考 (答案) RAPTOR程序设计评分标准 从键盘输入任意整数N,当N0时显示"Error! ",否则利用循环结构计算并 显示1 设计循环结构程序输入任意10 个整数,分别统计其中的奇数个数、偶数个 数、所有数的累加和,然后显示结果。 (100 设计循环结构Jun 23, · 循环水系统流程图 404冷却塔冷却塔 吸水池 水泵房 天然气压缩机透平 表面冷凝器e0603 天然气压缩机润滑油 冷却器e0605a/b 天然气压缩机e0601 旁路冷却器 (防喘振冷却器) 合成气压缩机润滑油 冷却器e0705a/b 常压塔冷凝器 e0409 加压塔二冷 e0413 废水冷却器 e0416三种循环的流程图画法 C语言编程中常用的三种循环为for***;;***,while 和 dowhile。 1 for循环 for循环形式: for***表达式1;表达式2;表达式3*** 流程图: 图1 for循环流程图 2 while循环 while循环形式: while***判断条件***




Php丨php基础知识之流程控制for循环 理论篇 大脸猫php博客 大脸猫



慕课网4 1c 循环流程图和while循体 简书
流程图符号的用法 处理 代表流程图中的一个处理或者步骤。 预处理 表示决定下一个步骤的一个子进程。 可以有多种结果,但往往只有两个 yes和no。 判断 对一个条件进行判断抉择。 可以有多种结果,但往往只有两个 是的,没有。 起点和终点 代表一个流程开始和结束。 数据形状 指示信息进程外,或离开的过程。 延迟形状 代表没有活动,做一个等待期。



结构化程序设计和模块化结构 翔宇亭it乐园



实用循环流程图ppt图表 第一ppt




程序流程图学习笔记 知乎



Java For循环嵌套




循环流程图图片免费下载 循环流程图素材 循环流程图模板 新图网



偷摸学python第五天 循环结构 码农家园



用于显热源发电的超临界二氧化碳动力循环流程研究进展 中国科学院工程热物理研究所




环形箭头循环流程图表图片素材免费下载 觅知网




如何利用visio快速绘制程序设计中算法流程图 Office教程网



双重循环流程图 循环流程图 Ppt循环流程图 大山谷图库 手机版



经济循环流程图图片大全 经济循环流程图图片在线观看 梨子网




C For 循环 菜鸟教程



白话c 第十章循环语句



For循环流程图实现 万图壁纸网



For嵌套循环语句流程图 第1页 要无忧健康图库




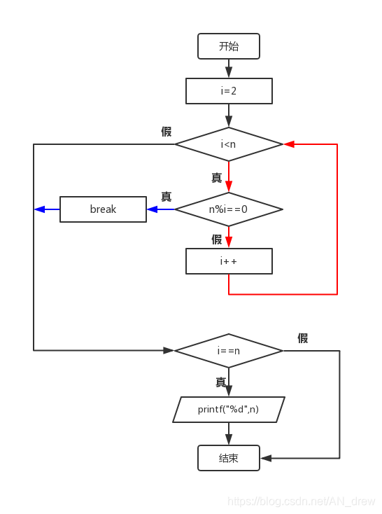
For While Do While循环的流程图表示及相应continue Break的流程图表示 An Drew的博客 Csdn博客 While 循环流程图




流程图无限循环怎么画 Word流程图怎么画 少数派



Ruby While Do While循环语句 Ruby教程




程序流程图学习笔记 Michael翔



C语言初步 第31讲 循环控制结构及流程图 次数不定的循环的流程图 Osseyda S Nation Csdn博客




循环流程 素材 免费循环流程图片素材 循环流程素材大全 万素网




软件程序流程图使用规范 Amorphous 博客园




循环流程图片 循环流程素材 循环流程高清图片 摄图网图片下载




箭头循环流程图png图片素材免费下载 流程图png 924 939像素 熊猫办公




For While Do While循环流程图的的画法总结 百度经验



Javascript For循环 郭隆邦技术博客



嵌套循环流程图 搜狗图片搜索




循环的流程图 对于for循环中嵌套了if结构的流程图怎么画呢 三人行教育网 Www 3rxing Org



Go语言使用 程序流程控制之跳转控制语句 Science Explorer 程序员宅基地 程序员宅基地




Js 03 循环语句结构




在线循环流程图制作器




循环取货 Mba智库百科




C语言循环结构程序设计ppt精品文档下载 Ppt模板 爱问共享资料



While循环语句的使用 米粒教育




循环箭头流程图图片 循环箭头流程图素材 循环箭头流程图模板免费下载 六图网



C语言for循环 字节流



C While和do While循环 C 教程网




Java流程控制之 二 循环




For While Do While循环的流程图表示及相应continue Break的流程图表示 An Drew的博客 Csdn博客 While 循环流程图




复习 For循环嵌套及流程图梳理 阿里云开发者社区




系统流程图怎么画 从认识系统流程图开始学习




For While Do While三种循环的流程图画法总结 附案例 知乎




四色循环箭头流程图png图片素材免费下载 图片编号ynvgvzkg Pngbag素材网




Shell脚本中循环语句for While Until用法 思远晨曦 51cto博客




Vba 程序循环结构 懒人excel



画了多年的流程图 你真的画规范了吗 人人都是产品经理



Do循环具有较强的灵活性 它可以根据需要决定是条件满足时执行循环体 还是一直执行循环体直到条件满足



正方形循环流程图免抠素材免费下载 觅元素51yuansu Com



流程图如何表示循环 游戏方法 资讯 九四游戏网




程序流程图学习笔记 Michael翔




循环结构的程序流程图 第1页 图说健康



Python3 For循环语句 Python3教程 Srcmini




第3章while循环程序设计 Ppt Download




三种循环的流程图画法总结 绿茶叶 博客园




笔记 Shell While循环




Python While 循环语句 菜鸟教程




Java循环流程控制语句 憋错料



画出1 2 3 4 5 100的流程图循环流程图 作业帮




循环结构流程图 迅捷画图 在线制作流程图



嵌套循环流程图 搜狗图片搜索




循环流程图 免费示例和模板下载



Excel Vba流程图解之for循环的本质原来系统偷偷干了很多事 Excel实例教学网微信公众号excel0



箭头循环流程图图片免费下载 Png素材 编号ve9iwq4e1 图精灵



画了多年的流程图 你真的画规范了吗 人人都是产品经理



流程图无限循环怎么画 流程图循环结构怎么画 豌豆ip代理




Go语言基础 流程控制 3 Switch分支控制 For循环 每日头条



C语言函数流程图 C语言函数调用流程图 C语言递归函数流程图 腾然网



循环流程图 万图壁纸网



Gb T 1993计算机循环流程图计算机png图片素材免费下载 图片编号 Png素材网




C语言for循环 极客教程




For While Do While三种循环的流程图画法总结 资讯咖



闭路循环喷雾干燥机的原理 循环流程以及流程图 汇金干燥




流程图无限循环怎么画 流程图循环结构怎么画 尚码园



Java流程控制和循环流程图 程序员大本营




三种循环的流程图画法总结 绿茶叶 博客园




For循环 C语言学习教程 C语言程序 C语言编程 C语言入门



收入市场家庭的循环流动 循环流程图png图片素材免费下载 图片编号 Png素材网



Python循环流程语句while Daydaylearn编程读书学习




干货 三大语法点 教你彻底掌控while的循环流程




循环流程图 免费示例和模板下载



流程图ppt图表 四步骤多节点循环流程图ppt图表下载 演界网




程序流程图学习笔记 知乎




While循环流程图 C中的死循环 While 0 的流程图怎么画呀 三人行教育网 Www 3rxing Org



Javascript 循环结构流程图详解 码农教程
コメント
コメントを投稿